鋁材擠壓工藝
Extrusion technology
Extrusion technology
聯系APAS / Contact us
- 地址:天津市西青經濟技術開發區賽達國際工業城A3-2.
- 郵箱:lxc@apas.com.cn
- 電話:022-87920088
- 傳真:請聯系網絡管理員
- 郵編:300385
- 咨詢熱線:13702119190(24小時服務熱線)
鋁型材擠壓變形程度的確定和影響
內容來源:http://m.postbar.cn 作者:武將 發布日期:2019-11-15
08:52 閱讀次數:7084 次
點擊收藏
變形程度的大小決定鋁型材變形的均勻性,也即決定型材組織力學性能的均勻性;一般要求擠壓材變形率不小于90%~92%;變形量太小,鋁型材中可能仍然保留部分鑄造組織,從而降低材料的性能;
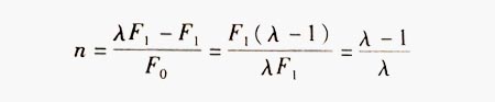
變形程度隨著擠壓系數的增加而增加;如果不考慮開始擠壓階段釘坯鐓粗所產生的變形程度,即可由擠壓系數計算其變形率,即變形程η;
鋁型材的擠壓系數為:
鋁型材的變形率為:
將上述公式1帶入公式2得:
式中: F0—鐓粗后的錠坯斷面面積;
F1—鋁型材的橫截面面積;
Λ—擠壓系數;
根據上述公式要求變形程度達到90%~92%,則其擠壓系數需達到λ=10~12.5;顯然對有些大型擠壓件,鑒于設備的能力不足和比壓較小,要完全滿足這樣的要求是不可能的,因此有時將擠壓系數控制在8以內,即將變形率控制在87.5%以上,在某些特殊情況下,擠壓系數只能達到5(變形率80%),這樣的擠壓鋁型材產品很難滿足使用要求;為了盡可能使性能有所改善,于是適當地減小鑄錠直徑,增大開始擠壓階段的鐓粗系數,在擠壓延伸變形前使鑄塊受到壓縮變形,當然這種方法改善的程度是有限的;
但也有另外一種情況,即在擠壓硬合金小規格空心鋁型材時,為了保證焊縫質量,要求具有大的擠壓系數,有時λ需在200左右,其變形程度達99.5%,當然這只能在具有很高比壓的條件下才能進行;
聯系APAS/ Contact us
天津艾普斯工業鋁型材股份有限公司
聯系電話:022-87920088
企業傳真:(避免惡意廣告)請聯系該企業網絡管理員
服務熱線:13702119190 (24小時服務熱線)
Q Q:534973906
企業郵箱: lxc@apas.com.cn
企業地址:天津市西青經濟技術開發區賽達國際工業城A3-2
聯系電話:022-87920088
企業傳真:(避免惡意廣告)請聯系該企業網絡管理員
服務熱線:13702119190 (24小時服務熱線)
Q Q:534973906
企業郵箱: lxc@apas.com.cn
企業地址:天津市西青經濟技術開發區賽達國際工業城A3-2
采購意向留言:* 為必填熱門文章 / HOT





QQ咨詢
電話聯系
聯系電話

在線留言
樣冊下載
